河北大学程序设计训练营
题目描述:
矩阵的乘法定义如下:设A是m×p的矩阵,B是p×n的矩阵,则A与B的乘积为m×n的矩阵,记作C=AB,其中,矩阵C中的第i行第j列元素cij 可以表示为:
当多个矩阵相乘时,采用不同的计算顺序所需的乘法次数不相同。例如,A是50×10的矩阵,B是10×20的矩阵,C是20×5的矩阵, 计算ABC有两种方式:(AB)C和A(BC),前一种需要15000次乘法计算,后一种则只需3500次。
设A1 ,A2 ,…,An 为矩阵序列,Ai 是阶为Pi−1 ∗Pi 的矩阵(1≤i≤n)。试确定矩阵的乘法顺序,使得计算A1 A2 …An 过程中元素相乘的总次数最少。
输入格式:
每个输入文件为一个测试用例,每个测试用例的第一行给出一个正整数(1≤n≤100),表示一共有n个矩阵A1 ,A2 ,…,An ,第二行给出n+1个整数P0 ,P1 …Pn ,以空格分隔,其中1≤Pi ≤100(0≤i≤n),第i个矩阵Ai 是阶为Pi−1 ∗Pi 的矩阵。
输出格式:
获得上述矩阵的乘积,所需的最少乘法次数。
输入样例:
在这里给出一组输入。例如:
5
30 35 15 5 10 20
输出样例:
在这里给出相应的输出。例如:
11875
思路过程:
(1) 矩阵 Ai*j与矩阵Bj*k相乘,所需乘法次数 = i* j*k,这点很容易理解
(2) 下面来分析最优解的情况:
- 两个矩阵相乘,只有一个结果,所以不存在最优问题
- 多个矩阵相乘,假设已经知道在第k个位置加括号会得到最优解,那么运问题变成两个子问题:(Ai Ai+1 …Ak),(Ak+1Ak+2…Aj)假设前者乘法次数为a,后者乘法次数为c,两者 相乘的乘法次数为b,所以,最优解 = a+b+c;
(3) 建立最优值递归式:
用m[i][j]表示AiAi+1…Aj矩阵连乘的最优值,那么子问题(Ai Ai+1 …Ak),(Ak+1Ak+2…Aj)对应的最优值为m[i][k],m[k+1][j],再加上矩阵(Ai Ai+1 …Ak)和矩阵(Ak+1Ak+2…Aj)的乘法次数就行。
设矩阵Am的行数为pm,列数为qm,m=i,i+1,…,j,且矩阵可乘。(Ai Ai+1 …Ak)视为结果是一个pixqk矩阵,(Ak+1Ak+2…Aj)的结果是一个pk+1xqj矩阵,其中,qk = pk+1,两矩阵相乘的乘法次数是pi* pk+1*qj。
矩阵连乘最优值递归式:
当i=j时,只有一个矩阵,m[i][j] = 0;
当i>j时,m[i][j] = min{ m[i][k] + m[k+1][j] + pipk+1qj},i≤k<j。如果用p[]来记录矩阵的行和列,第i个矩阵的行数存储在数组的第i-1位置,列数在数组的第i位置,那么pi* pk+1qj对应的数组元素相乘为p[i-1] p[k]*p[j],原递归式变为:

(4) 自底向上计算并记录最优值
先求两个矩阵相乘的最优值,再求三个矩阵相乘的最优值,直到n个矩阵连乘的最优值。
(5) 图解
就本题来说,有5个矩阵,如图
| 矩阵 | A1 | A2 | A3 | A4 | A5 |
|---|---|---|---|---|---|
| 规模 | 30*35 | 35*15 | 15*5 | 5*10 | 10*20 |
初始化
p[]记录行列值
m[][]记录最优值
计算2个矩阵相乘的最优值
规模r = 2,根据递归式:m[i][j] = min{ m[i][k] + m[k+1][j] +p[i-1]* p[k]*p[j]},i≤k<jA1*A2: k=1,m[1][2] = min{m[1][1] + m[2][2] + p[0]*p[1]*p[2]} = 15750
A2*A3: k=2,m[2][3] = min{m[2][2] + m[3][3] + p[1]*p[2]*p[3]} = 2625
A3*A4: k=3,m[3][4] = min{m[3][3] + m[4][4] + p[2]*p[3]*p[4]} = 750
A4*A5: k=4,m[4][5] = min{m[4][4] + m[5][5] + p[3]*p[4]*p[5]} = 1000
计算完毕,
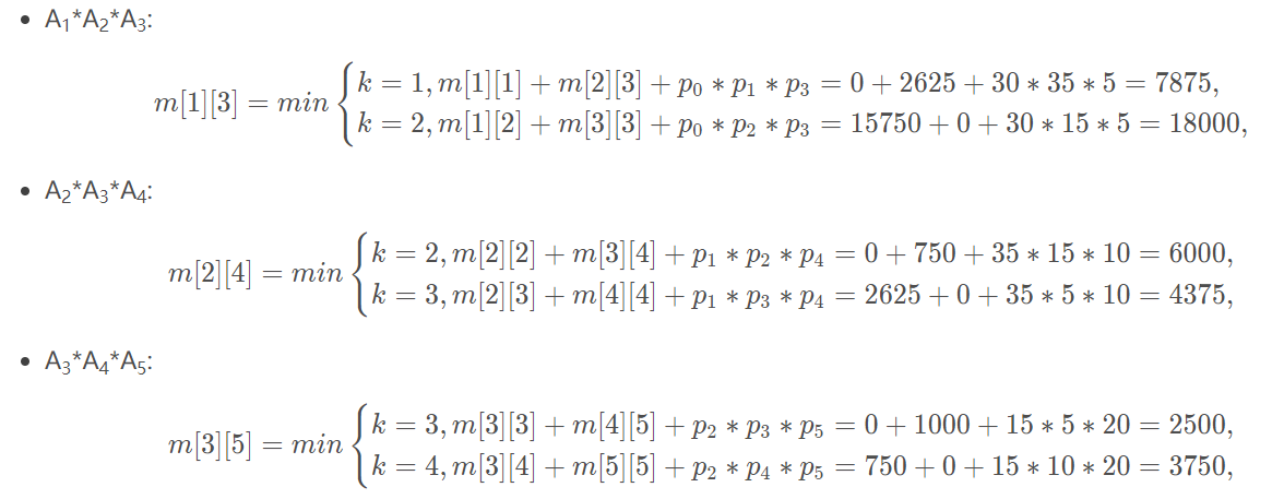
计算3个矩阵相乘的最优值

计算完毕,计算4个矩阵相乘的最优值

计算5个矩阵相乘的最优值

思路讲到这,现在来说说代码的鲁棒性:
就算法竞赛来讲,题目是人设计的,难免会出错。虽然比赛中途往往会修改这一错误,但在ACM/ICPC 等时间紧迫的比赛中,如果程序鲁棒性强,有时能在数据有瑕疵的情况下仍然给出正确的结果,这会节约大量不必要的时间浪费。
比如这道题,规定1≤n≤100,但是,n的实际输入值大于100,如果将MAX设置成105,结果如下,
段错误一般情况下就是数组太小,出现越界情况,所以就增大MAX吧。经测试,MAX到500就行,我猜是出题人少了个0,所以直接写了1005。
AC代码:
1 |
|






