给定一棵二叉树的先序遍历序列和中序遍历序列,要求计算该二叉树的高度。
输入格式:
输入首先给出正整数N(≤50),为树中结点总数。下面两行先后给出先序和中序遍历序列,均是长度为N的不包含重复英文字母(区别大小写)的字符串。
输出格式:
输出为一个整数,即该二叉树的高度。
输入样例:
输出样例:
思路:
这题有点难理解
还原二叉树:
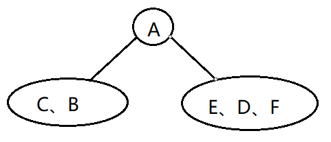
已知一颗二叉树:
先序遍历:ABCDEF
中序遍历:CBAEDF
由于前序遍历第一个打印的是 A 所以 A 为根结点
由于中序遍历 CBAEDF 可知 C 和 B 是 A 的左子树的结点,E、D、F 是 A 右子树的结点

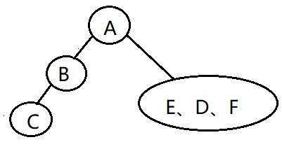
由于前序遍历中先 B 后 C ,所以 B 是 A 的左孩子,C 只能是 B 的孩子。
中序遍历中先 C 后 B ,所以 C 是 B 的左孩子

前序遍历中顺序为 DEF,意味着 D 是 A 的右孩子
E、F 是 D 的子孙,但不一定是左右孩子,可能有一个孙子
中序遍历中顺序为 EDF,所以 E 是 D 的左孩子,F 是 D 的右孩子

求树的高度:
树的高度其实是用递归来求得,树的高度=max(左子树的高度,右子树的高度) + 1(当前自己这一层),对于左子树和右子树也是这个公式,递归求解即可。
代码:
1 2 3 4 5 6 7 8 9 10 11 12 13 14 15 16 17 18 19 20 21 22 23 24 25 26 27 28 29 30 31 32 33 34 35 36 37
| #include<bits/stdc++.h> using namespace std; typedef struct TreeNode{ char data; TreeNode* left; TreeNode* right; }*Tree; int n; string pre,in;
Tree Build(int root,int start,int end){ if(start > end) return NULL; TreeNode* node = (TreeNode*)malloc(sizeof(TreeNode)); node -> data = pre[root]; int pos = start; while(pre[root] != in[pos]) pos++; node -> left = Build(root + 1,start,pos - 1); node -> right = Build(root + pos - start + 1,pos + 1, end); return node; }
int GetHeight(Tree t){ if(t == NULL) return 0; return max(GetHeight(t -> left),GetHeight(t -> right)) + 1; } int main() { cin >> n >> pre >> in; Tree t = Build(0,0,pre.size() - 1); cout << GetHeight(t) << endl; return 0; }
|